Что такое точка росы: ее связь со строительством + методика вычислений
На физическое состояние воды, содержащейся в утеплителях, гигроскопичных стройматериалах, воздухе, влияет температура окружающей среды. Согласно законам теплотехники точка росы представляет собой некое значение температуры, при которой парообразная вода становятся конденсатом, то есть росой.
Все о том, как определить точку росы, чтобы учесть ее при разработке проекта строительства, вы узнаете из представленной нами статьи. Мы расскажем, каким способом вычисляется точка, в которой пар превращается в конденсат, и как он отражается на эксплуатации дома. Дадим советы по вариантам локализации этого явления.
Связь точки росы и строительства
Числовое значение точки росы находится в прямой зависимости от таких показателей: относительной влажности и температуры на улице, и в самом помещении. Например, если за окном t = 8 ˚С, а в доме t = 22 ˚С и относительная влажность 45%, то на внешней стене образуется конденсат.
Существуют и дополнительные факторы, формирующие точку росы, а именно: особенности регионального климата, степень утепления всех ограждающих поверхностей, качество и тип системы отопления, период проживания — может быть постоянным (дом, квартира) или временным, например, дача или гараж, наличие вентиляции.
Для строителей очень важно знать число точки росы, чтобы вычислить точную локализацию конденсата на стенах, а также, чтобы определить необходимую толщину утеплителя. Ведь именно благодаря этим знаниям можно максимально минимизировать потерю тепла в период холодов.
Положение точки росы может блуждать по толщине стены. Оно зависит от толщины и типа материалов самой стены и утеплителя, от показателей температуры и влажности в помещении и на улице.
Каждый материал, используемый для строительства и отделки стен, кроме металла, имеет свою степень паропроницаемости. Этот показатель, с точки зрения физики, показывает количество пара, которое может пропустить любой материал за определённое время.

Паропроницаемость один из решающий факторов, которые влияют на выбор материалов для утепления, также этот параметр важен для анализа состояния внешних стен
В периоды низких температур пар из помещения под давлением будет стремиться пройти на улицу через все слои внешних стен. Чем ниже коэффициент паропроницаемости утеплителя, тем меньший слой следует укладывать. Её коэффициент должен расти от внутренней стороны к наружной, как и теплопроводность.
Если все расчёты проведены без ошибок, то расположение точки росы будет находиться в теплоизоляционном слое стены, ближе к внешней поверхности. Именно там пар превратится в конденсат и лишь увлажнит стену. Таким образом, пар будет накапливаться зимой, а летом необходимо создать условия для испарения накопившейся влаги.

Главным условием качественного утепления считается создание условий для испарения скопившейся влаги. Для этого проводятся специальные расчёты и подбираются отделочные материалы
Менее подходящим будет положение точки росы в несущей стене дома. Так бывает, если неправильно выбран тип и толщина утеплителя.
Худший вариант предполагает расположение конденсата на внутренней стороне стены. Эта ситуация возможна, если стена не утеплена вовсе или утеплитель находится внутри помещения. В последнем случае под слоем утеплителя может образовываться плесень, к тому же влажная теплоизоляция совершенно не будет сохранять тепло.
Варианты вычисления точки росы
Методика и правила расчёта точки росы регламентированы на законодательном уровне такими документами как СНиП 23-02 Тепловая защита зданий и СП 23-101-2004 Проектирование тепловой защиты зданий.
В СНиП в пункте 6.2 прописаны три нормированных значения по теплозащите, а именно:
Нормы считаются выполненными, если соблюдены требования 1 и 2 или 2 и 3.
Для того, чтобы максимально точно определить точку росы некоторые специалисты обращаются в областную метеорологическую службу для получения справки о точном температурном режиме и розе ветров на определённой территории.
Но провести подобные вычисления сможет каждый. Существует несколько способов для определения точки росы.
Способ №1 — использование формул
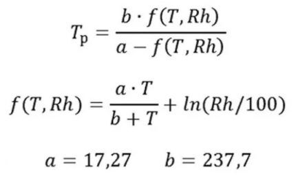
Для таких расчётов было создано несколько формул. Например, формула для выведения точки росы при t от 0 ˚С до +60 ˚С. Её погрешность составляет ±0,4 ˚С. Для проведения вычислений понадобятся значения температуры в помещении на высоте 50-60 см от пола и влажность воздуха. Затем просто подставьте данные и получите результат.

Это одна из наиболее популярных формул, в которой T температура в градусах Цельсия, Rh относительная влажность в %, Ln натуральный логарифм
Способ №2 — применение готовой таблицы
Специалисты разработали таблицу для моментальных вычислений. Следует учитывать, что в таблице приведены приблизительные данные. В ней указаны температура и влажность, а на их пересечении вы найдёте точку росы.

Узнать число точки росы можно благодаря данным из таблицы, представленной в СП 23-101-2004. Нужно выбрать значение на пересечении температуры и влажности
Способ №3 — измерительные приборы
Сейчас существует несколько видов специальных аппаратов для проведения таких замеров. Например, некоторые модели тепловизоров, кроме ключевых характеристик, могут отображать и локализацию точки росы, и термограмму помещения. Их используют профессиональные строители и специалисты по теплотехнике.

Тепловизор представляет собой профессиональный прибор, при помощи которого можно создать теплограмму помещения. В некоторых моделях есть функция расчёта точки росы
А портативный теплогигрометр поможет узнать не только температуру и влажность в помещении, а и вычислит точку росы.
Психрометр поможет измерить два ключевых показателя в помещении: влажность и температуру воздуха. Прибор состоит из влажного и сухого термометров в одном блоке.

При помощи мобильного теплогигрометра легко узнать влажность и температуру на всех участках стены, крыши в любом помещении
Способ №4 — расчеты по онлайн калькулятору
Сервисов, предоставляющих такие калькуляторы, очень много. При этом такой способ считается одним из наиболее ненадёжных, ведь в качестве результата вы можете получить цифры с потолка или же с большой погрешностью.
Если вы неуверенны в полученных результатах, то доверьтесь профессионалам и обратитесь в специализированную компанию. Они проведут анализ стен и предложат оптимальный вариант.
Локализация точки росы
Место расположения точки росы зависит от того, с какой стороны расположен утеплитель. Так, в стене без утепления она будет будет смещаться по толщине стены в зависимости от изменения температуры воздуха и влажности. При минимальном перепаде температур она будет располагаться в толщине стены между центром и наружной поверхностью.
Впоследствии внутренняя сторона стены останется сухой. Когда ее положение находится между внутренней поверхностью и центром стены, последняя намокнет внутри во время резкого похолодания или в период морозов.

Стена может быть утеплена с наружной или внешней сторон, либо же не быть утеплённой вовсе. От этого и будет зависеть место расположения точки росы
В стене с утеплением по внешней стороне расположение точки росы будет оптимальным. Ведь в этом случае она будет располагаться внутри утеплителя, и таким образом внутренняя поверхность стены будет сухой. Это самый лучший вариант.
Но, если толщину утеплителя подобрали неверно, может происходить смещение точки росы, что чревато появлением грибка, плесени, быстрому разрушению стен.
В стене с установленным изнутри утеплителем конденсат образуется в стене ближе к жилому помещению, температура стены под теплоизоляционным слоем снижается, создавая оптимальные условия для разрастания плесени.
Локализация может быть такой:
- между центром стены и утеплителем, а в период морозов или резкого снижения температуры на их границе;
- на внутренней поверхности стены, которая весь зимний период под утеплителем будет мокрой;
- внутри утеплителя, который, как и стена под ним, будет мокрым во время всего холодного периода.
Как видно, место точки росы имеет существенное влияние на комфорт и здоровье человека.
Последствия неправильных вычислений
Во время выбора материалов для утепления помните, что один из эффективных способов защиты внешних стен от влаги заключается в правильном расположении слоёв утеплителя.

Качественная теплоизляция поможет существенно сократить потери тепла и сохранить уют в доме, а также продлить срок жизни стенам
Плотный слой, который не пропустит пар, следует расположить с внутренней стороны несущей стены, а пористый, пропускающий влагу – снаружи.
Также необходимо создать условия для вентиляции в точке конденсации. В таком случае конденсат будет испаряться без препятствий.

Правильно утеплённая внешняя стена поможет сократить потери тепла во время отопительного периода от 45 до 95 % и создать уют в доме
Если утеплитель был выбран неправильно, то влага в нём будет накапливаться постепенно и снизится число термического сопротивления стены. Поэтому на второй, максимум на пятый отопительный сезон расходы на отопление возрастут, если это частный дом, в квартире зимой просто будет намного холоднее.
Профессиональное утепление – это долгий и дорогостоящий процесс. Сегодня существует много материалов для утепления. Не пытайтесь на них сэкономить, так как дешёвые материалы через несколько отопительных сезонов придут в негодность и начнут разрушаться.
Последствий неправильных расчетов несколько, но некоторые из них могут негативно сказаться на качестве жизни. Главным последствием будут постоянно мокрые стены, как следствие грибок, плесень, микробы на стенах, что влечет за собой появление многих хронических заболеваний.

Постоянно мокрые стены становятся рассадником для роста грибка и плесени, ведь их споры летают в воздухе и могут вызвать болезни
Так как влажное помещение трудно обогреть, то уровень комфорта падает. А высокая влажность внутри таких стен может спровоцировать болезни органов дыхания.
Еще одним неприятным последствием неправильных расчетов является разрушение отделочных материалов — крошится плитка, осыпается кирпич на внешней стене, а внутри помещения поверхность на стенах начнёт вздуваться.

Невысохший конденсат, это ключевая причина возникновения на внешней стене вздутия и расслоения отделочных материалов
Чтобы исправить возникшую ситуацию, следует обратиться к специалистам для анализа состояния стен и утеплителя. Располагая правильными расчётами, вы сможете исправить все ошибки и создать комфортные и тёплые условия в вашем доме.
С правилами и формулами проведения теплотехнического расчета для грамотного проектирования дома ознакомит следующая статья, прочитать которую мы очень рекомендуем.
Выводы и полезное видео по теме
О том, как определить точку росы и что она из себя представляет можно узнать из следующего видеоролика:
О способах утепления стен и правильном выборе материалов пойдет речь в следующем видеоролике:
Узнать точку росы можно как самостоятельно, так и обратившись к профессионалам. Число точки росы даёт возможность специалисту грамотно выбрать материал и качественно утеплить стены жилого дома или любое другое помещение.
От точности измерений зависит не только тепло и уют в доме, а и здоровье его жителей. Профессионалы рекомендуют утеплять стену изнутри только в крайнем случае и после профессиональной консультации.
Пишите, пожалуйста, комментарии и задавайте вопросы по спорным моментам, публикуйте фото и посты с вашим мнением в находящемся ниже блоке. Делитесь полезной информацией и способами определения точки росы, не описанными в статье. Расскажите о личном опыте в решении этого вопроса.
Источник: sovet-ingenera.com